Есть тут те, кто хочет научиться решать задачи и щелкать их, как орешки? Наш совет: практикуйтесь с различными заданиями побольше! А мы поможем и в этой статье дадим вам несколько примеров решения задач на тему «расчет количества теплоты».
Подписывайтесь на наш телеграм-канал, чтобы не только решать задачи, но и просто быть в курсе актуальных новостей студенческой жизни.
Задачи на количество теплоты
Для начала, запомним, что количество теплоты обозначается буквой Q. Кроме того, не забываем держать под рукой общую памятку по решению физических задач и список полезных формул. Но сначала, конечно же, читаем теорию в старых советских учебниках или в нашем отдельном материале по термодинамике.
Задача №1. Нахождение количества теплоты
Условие
Водород массой 20 г был нагрет на 100 градусов Цельсия при постоянном давлении. Найти количество теплоты, переданное газу.
Решение
Будем использовать первое начало термодинамики, согласно которому:

Изменение внутренней энергии дельта U вычисляется по формуле (газ считаем двухатомным):

Работа газа при изобарном процессе равна:

Теперь можно вычислить количество теплоты:

Ответ: 29085 Дж.
Задача №2. Количество теплоты, пример цикла Карно
Условие
В ходе цикла Карно рабочее вещество совершает работу, равную 113333 Дж. Температуры нагревателя и холодильника соответственно равны 450 К и 280 К. Какое количество теплоты рабочее тело получает от нагревателя в ходе цикла?
Решение
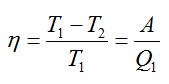
По определению, КПД цикла Карно:

Можно записать:

Ответ: 300 кДж.
Задача №3. Расчет количества теплоты, теплоемкость
Условие
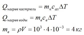
Определить количество теплоты, необходимое для нагревания 4 литров воды в алюминиевой кастрюле массой 500 г от 30 градусов Цельсия до кипения.
Решение
Это типичная задача на вычисление количества теплоты. Искомое количество теплоты складывается из количества теплоты для нагревания кастрюли и количества теплоты, которое пойдет на нагревание воды. Запишем уравнение теплового баланса:

Запишем выражения для количества теплоты и массы воды:

Вычислим, пользуясь табличными значениями для теплоемкостей:

Ответ: 1380,8 кДж
Задача №4. Молярная теплоемкость вещества
Условие
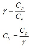
Вычислить молярные теплоёмкости газа, масса киломоля которого равна M = 30 г/моль, а отношение теплоёмкостей (Cp/Cv) = γ = 1,4.
Решение
Молярная теплоёмкость газа при p = const находится из уравнения Майера:

Молярная теплоёмкость газа при V = const находится из выражения:

Первое выражение можно переписать в виде:

Здесь R – универсальная газовая постоянная, R=8,31 Дж/(К* моль).

Ответ: 29,085 Дж/(К*моль); 20,775 Дж/(К*моль).
Задача №5. Количество теплоты
Условие
На сколько градусов изменилась температура чугунной детали массой 12 кг, если при остывании она отдала 648 кДж теплоты?
Решение
Это простая задача, которая решается в одно действие:

Ответ: 100 градусов Цельсия.
Кстати! Для всех наших читателей действует скидка 10% на решение задач по физике на количество теплоты и любые другие виды работ.
Вопросы по теме «количество теплоты»
Вопрос 1. В чем измеряется количество теплоты?
Ответ. В системе СИ единицей измерения количества теплоты является 1 Джоуль.
Теплота – это мера энергии, которая передается при теплообмене, поэтому она измеряется в тех же единицах.
Существуют также внесистемные и широко применяемые единицы измерения количества теплоты:
- калория;
- килокалория.
1 калория равна 4,19 Дж.
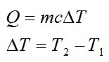
Объясним на примере, как рассчитывают количество теплоты. Допустим, есть брусок из какого-то вещества, который нагревают от температуры Т1 до температуры Т2. Количество теплоты, которое для этого нужно, можно определить по формуле:

Здесь с – удельная теплоемкость вещества
Вопрос 2. Что такое теплоемкость?
Ответ. По определению:
Теплоемкость – это скалярная физическая величина, которая показывает, какое количество теплоты нужно сообщить телу, чтобы нагреть его на один градус.
Удельная теплоемкость – это теплоемкость, отнесенная к единице массы. Именно значения удельной теплоемкости указаны в таблицах. Например, удельная теплоемкость воды равна 4200 Дж/(К*кг). Это значит, что для нагрева одного килограмма воды на один градус понадобится 4200 Джоулей.
Вопрос 3. Какие есть единицы измерения температуры?
Ответ. В системе СИ температура измеряется в Кельвинах. В быту мы привыкли к шкале Цельсия, которая наряду со шкалой Кельвина применяется в системе СИ. Также широко известна температурная шкала Фаренгейта, используемая в Англии и США.
Связь между температурой в Кельвинах и Цельсиях можно выразить формулой:

Температура кипения воды по шкале Фаренгейта равна 212 градусам, а лед тает при 32 градусах по Фаренгейту. Один градус Фаренгейта равен 1/180 разности этих температур.
Вопрос 4. Дайте определение температуры:
Ответ. Температура – это физическая величина, характеристика термодинамической системы, описывающая степень нагретости тел.
Вопрос 5. Какие виды теплопередачи вы знаете?
Ответ. Есть следующие виды теплопередачи:
- Теплопроводность – переход теплоты от более нагретых участков твердых тел к более холодным.
- Конвекция – передача теплоты потоками газа или жидкости.
- Излучение – теплота передается посредством электромагнитных волн.
Кстати, если у вас есть какой-то вопрос, вы всегда можете задать его в комментариях или обратиться за помощью к специалистам профессионального студенческого сервиса, которые всегда смогут вычислить удельную теплоемкость и рассчитать количество теплоты при теплообмене.