Продолжаем готовиться к летней сессии/ЕГЭ и приводим примеры решений задач по разным темам. Хотите больше разной и полезной информации? Присоединяйтесь к нам в телеграм и получайте ежедневную рассылку.
Молекулярно-кинетическая теория
Молекулярно-кинетическая теория (МКТ) – учение о строении вещества, которое строится на трех основных положениях:
- Все вещества состоят из частиц: молекул, атомов, ионов.
- Частицы находятся в постоянном и хаотическом движении.
- Частицы взаимодействуют друг с другом. Гравитационным взаимодействием между частицами можно пренебречь.
Молекулы и атомы считаются электрически нейтральными, а столкновения между ними – абсолютно упругими.
МКТ использует статистический подход, то есть исследует системы (например, газ в сосуде), состоящие из бесконечно большого количества частиц. Такой подход позволяет установить связь между макроскопическими и микроскопическими величинами.
Макроскопические величины – параметры, свойственные всей системе, как целому. Это объем, давление, температура. Микроскопические величины характеризуют частицы, из которых состоит система. Это скорость, энергия, импульс, масса и т.д.
Примеры решения задач
Если не помните какой-то формулы, то у нас всегда наготове более 40 основных физических формул по разным разделам. А еще, начинающим полезно будет почитать памятку по решению задач.
Задача 1
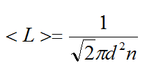
Водород находится под давлением Р = 20 мкПа и имеет температуру Т = 300 К. Определить среднюю длину свободного пробега <L> молекулы такого газа.
Решение
Средняя длина свободного пробега молекул газа вычисляется по формуле:

Здесь d – эффективный диаметр молекулы газа, n – число молекул в единице объема. Запишем основное уравнение молекулярно-кинетической теории:

k – постоянная Больцмана. Отсюда находим:

Ответ: 881 м.
Кстати! Для всех наших читателей сейчас действует скидка 10% на любой вид работы.
Задача 2
При какой температуре средняя квадратичная скорость молекул кислорода больше их наиболее вероятной скорости на 100 м/с?
Решение
Здесь нужно использовать формулы для средней квадратичной и вероятной скоростей.

По условию, дельта v – известная величина. Подставим ее в уравнение, и выразим температуру:


Ответ: 121 К.
При решении важно обращать внимание на величины, заданные в условии. При вычислениях обязательно переводите все размерности в систему СИ, если в условии не сказано другого.
Задача 3
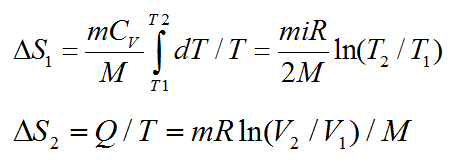
Найти приращение энтропии при переходе массы m=8 г углекислого газа от объема V1=10 л при температуре t1=80° С к объему V2=40 л при температуре t2=300° С.
Решение
Кстати, про энтропию у нас есть отдельная статья. Рассмотрим процесс перехода между состояниями вначале по
изохоре, а затем по изотерме. При изохорном процессе:

А при изотермическом:

Соответственно изменения энтропии в двух процессах:

В итоге получаем:

Ответ: 3.9 Дж\К.
Нужна помощь в решении задач? Обращайтесь в профессиональный студенческий сервис.