Может быть, кто-то думает, что трансформатор – это что-то среднее между трансформером и терминатором. Данная статья призвана разрушить подобные представления.
Ежедневная рассылка с полезной информацией для студентов всех направлений – на нашем телеграм-канале.
Трансформатор – статическое электромагнитное устройство, предназначенное для преобразования переменного электрического тока одного напряжения и определенной частоты в электрический ток другого напряжения и той же частоты.
Работа любого трансформатора основана на явлении электромагнитной индукции, открытой Фарадеем.
Назначение трансформаторов
Разные виды трансформаторов используются практически во всех схемах питания электрических приборов и при передаче электроэнергии на большие расстояния.
Электростанции вырабатывают ток относительно небольшого напряжения – 220, 380, 660В. Трансформаторы, повышая напряжение до значений порядка тысяч киловольт, позволяют существенно снизить потери при передаче электроэнергии на большие расстояния, а заодно и уменьшить площадь сечения проводов ЛЭП.

Непосредственно перед тем как попасть к потребителю (например, в обычную домашнюю розетку), ток проходит через понижающий трансформатор. Именно так мы получаем привычные нам 220 Вольт.
Самый распространенный вид трансформаторов – силовые трансформаторы. Они предназначены для преобразования напряжения в электрических цепях. Помимо силовых трансформаторов в различных электронных приборах применяются:
- импульсные трансформаторы;
- силовые трансформаторы;
- трансформаторы тока.
Принцип работы трансформатора
Трансформаторы бывают однофазные и многофазные, с одной, двумя или большим количеством обмоток. Рассмотрим схему и принцип работы трансформатора на примере простейшего однофазного трансформатора.
Кстати, в других статьях можно почитать, что такое фаза и ноль в электричестве.
Из чего состоит трансформатор? Во простейшем случае из одного металлического сердечника и двух обмоток. Обмотки электрически не связаны одна с другой и представляют собой изолированные провода.
Одна обмотка (ее называют первичной) подключается к источнику переменного тока. Вторая обмотка, называемая вторичной, подключается к конечному потребителю тока.

Когда трансформатор подключен к источнику переменного тока, в витках его первичной обмотки течет переменный ток величиной I1. При этом образуется магнитный поток Ф, который пронизывает обе обмотки и индуцирует в них ЭДС.
Бывает, что вторичная обмотка не находится под нагрузкой. Такой режимы работы трансформатора называется режимом холостого хода. Соответственно, если вторичная обмотка подключена к какому-либо потребителю, по ней течет ток I2, возникающий под действием ЭДС.
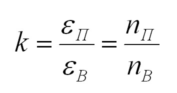
Величина ЭДС, возникающей в обмотках, напрямую зависит от числа витков каждой обмотки. Отношение ЭДС, индуцированных в первичной и вторичной обмотках, называется коэффициентом трансформации и равно отношению количества витков соответствующих обмоток.

Путем подбора числа витков на обмотках можно увеличивать или уменьшать напряжение на потребителе тока с вторичной обмотки.
Идеальный трансформатор
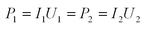
Идеальный трансформатор – трансформатор, в котором отсутствуют потери энергии. В таком трансформаторе энергия тока в первичной обмотке полностью преобразуется сначала в энергию магнитного поля, а далее – в энергию вторичной обмотки.
Конечно, такого трансформатора не существует в природе. Тем не менее, в случае, когда теплопотерями можно пренебречь, в расчетах удобно пользоваться формулой для идеального трансформатора, согласно которой мощности тока в первичной и вторичной обмотках равны.

Кстати! Для наших читателей сейчас действует скидка 10% на любой вид работы
Потери энергии в трансформаторе
Коэффициент полезного действия трансформаторов достаточно высок. Тем не менее, в обмотке и сердечнике происходят потери энергии, приводящие к тому, что температура при работе трансформатора повышается. Для трансформаторов небольшой мощности это не представляет проблемы, и все тепло уходит в окружающую среду – используется естественное воздушное охлаждение. Такие трансформаторы называют сухими.
В более мощных трансформаторах воздушного охлаждения оказывается недостаточно, и применяется охлаждение маслом. В этом случае трансформатор помещается в бак с минеральным маслом, через которое тепло передается стенкам бака и рассеивается в окружающую среду. В трансформаторах высоких мощностей дополнительно применяются выхлопные трубы – если масло закипает, образовавшимся газам нужен выход.

Конечно, трансформаторы не так просты, как может показаться на первый взгляд - ведь мы рассмотрели принцип действия трансформатора кратко. Контрольная по электротехнике с задачами на расчет трансформатора внезапно может стать настоящей проблемой. Специальный студенческий сервис всегда готов оказать помощь в решении любых проблем с учебой! Обращайтесь в Zaochnik и учитесь легко!