Да прибудет с вами сила! Чтобы так оно и было, научимся решать задачи по теме «Силы в природе».
А еще, подписывайтесь на наш телеграм-канал, чтобы получать полезную рассылку каждый день.
Задачи на тему «Силы в природе» с решениями
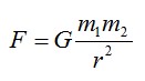
Задача №1. Закон всемирного тяготения
Условие
Два тела притягиваются друг к другу с силой 6.67*10^-5 Н. Масса каждого тела равна 20 тонн. Найти расстояние, на котором находятся тела.
Решение
По закону всемирного тяготения:

Отсюда найдем расстояние:

Ответ: 20м.
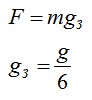
Задача №2. Вес и невесомость
Условие
Ракета с Дартом Вейдером вертикально стартует со звезды Смерти с ускорением a=20 м/с^2. Найти вес Дарта во время старта, если его масса равна 90 кг, а ускорение свободного падения в 6 раз меньше земного.
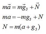
Решение
Сила тяжести, действующая на Дарта:

По второму закону Ньютона:

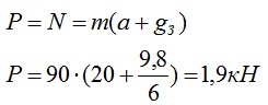
По 3 закону Ньютона, вес равен силе нормальной реакции опоры.

Ответ: 1,9 кН.
Задача №3. Сила упругости. Закон Гука
Условие
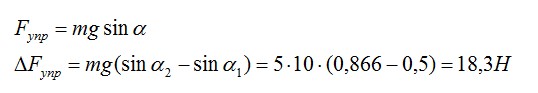
Брусок массой m = 6 кг покоится на наклонной поверхности. Как изменится сила натяжения пружины при изменении угла наклона от 30° до 60°. Трение не учитывать.
Решение

Выпишем все силы, которые действуют на брусок, и запишем второй закон Ньютона в векторной форме и в проекциях на оси:

Выражение для силы упругости:

Ответ: 18,3 Н.
Задача №4. Сила трения
Условие
Санки массой 5 кг скользят по горизонтальной дороге. Сила трения скольжения их полозьев о дорогу 6 Н. Каков коэффициент трения скольжения саночных полозьев о дорогу? Ускорения свободного падения считать равным 10 м/с2.
Решение
По второму закону Ньютона в проекции на вертикальную ось:

Ответ: 0,12.
Вопросы на тему «Силы в природе»
Вопрос 1. Приведите примеры диссипативных сил.
Ответ. Типичные примеры диссипативной силы: сила сухого трения, сила сопротивления воздуха, сила трения качения.
Вопрос 2. Приведите примеры потенциальных сил.
Ответ. Потенциальные силы: сила тяжести, сила упругости, сила кулоновского взаимодействия.
Вопрос 3. Приведите примеры действия силы тяжести в природе.
Ответ. Вот типичные примеры проявления силы тяжести в природе:
- Река течет с горы.
- Дождь падает с неба.
- Зрелое яблоко падает с березы на землю.
Вопрос 4. Какую природу имеют силы, которые рассматриваются в механических задачах?
Ответ. В механических задачах рассматриваются силы, природа которых различна. Например, сила тяжести является следствием всемирного тяготения. А сила трения имеет электромагнитную природу, так как обусловлена взаимодействием между частицами вещества.
В задачах важно верно определить все силы, действующие на тело, а также обозначить направления действия сил.Вопрос 5. Что такое вес тела?
Ответ. Некоторые не задумываются, но вес тела – это не масса. Вес – сила, с которой тело действует на опору. Невесомость – состояние тела, когда вес равен нулю.
Силы в природе
Сила – векторная физическая величина, мера воздействия тел. Обозначается буквой F и измеряется в Ньютонах.
Какие бывают силы? Вообще, в физике их очень много. Вот основные силы, которые нужно знать для решения базовых задач по механике:
- сила трения;
- сила упругости;
- центростремительная сила;
- сила нормальной реакции опоры (имеет ту же природу, что и сила упругости);
- сила тяжести.
В электричестве действуют Сила Ампера, Сила Лоренца и кулоновская сила взаимодействия между зарядами. Конечно, это далеко не все силы, которые есть в природе.
Силы бывают диссипативные и потенциальные.
- диссипативные силы – это силы, при действии которых на механическую систему ее полная энергия уменьшается, переходя в немеханические формы энергии;
- потенциальные силы – силы, работа которых не зависит от вида траектории и определяется только начальным и конечным положением точки (тела).
Нужна помощь в решении задач и других заданий? Обращайтесь в профессиональный студенческий сервис.