Как известно, электрический ток может течь не только в металлах, но и в других средах. В сегодняшней статье разбираемся с решением задач на тему «Электрический ток в полупроводниках».
Присоединяйтесь к нам в телеграме, чтобы не пропускать важные новости и получать приятные скидки.
Электрический ток в полупроводниках: задачи с решением
Решение задач по любой теме невозможно без знания теории. Также полезно будет почитать общую памятку по решению задач по физике.
Задача №1
Условие
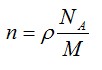
Концентрация электронов проводимости в германии при комнатной температуре n = 3·10^19 м-3. Плотность германия 5400 кг/м3, молярная масса германия 0,073 кг/моль. Каково отношение числа электронов проводимости к общему числу атомов?
Решение
Cначала определим общее число атомов:

Теперь вычислим искомое соотношение:

Таким образом, мы нашли долю электронов проводимости от общего числа атомов.
Ответ: 6,7*10^-10.
Задача №2
Условие
По тонкой кремниевой пластинке шириной l = 3,2 мм и толщиной d = 250 мкм течет ток I = 5,2 мА. Кремний содержит примеси фосфора и является полупроводником n-типа. Число электронов в единице объема во много раз превышает концентрацию носителей заряда в чистом кремнии. Для данного образца концентрация электронов составляет nе = 1,5·10^23 м-3. Определите среднюю дрейфовую скорость электронов.
Решение
Проводимость в проводниках n-типа – электронная. То есть, ток обусловлен дрейфом электронов. Вычислим плотность тока, или силу тока, который протекает через единичное сечение образца:

Дрейфовую скорость электронов найдем из соотношения:

Ответ: 0,27 м/с.
Задача №3
Условие
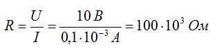
Найдите сопротивление полупроводникового диода в прямом и обратном направлениях тока, если при напряжении на диоде 0,5 B сила тока равна 5 мА, а при напряжении 10 B сила тока равна 0,1 мА.
Решение
Будем использовать закон Ома. В первом случае:

Во втором случае:

Ответ: 100 Ом; 100кОм.
Задача №4
Условие
В усилителе, собранном на транзисторе по схеме с общей базой, сила тока в цепи эмиттера равна 12 мА, в цепи базы 600 мкА. Найти силу тока в цепи коллектора.
Решение
Сила тока в цепи коллектора будет равна разности сил тока в цепях эмиттера и базы:

Ответ: 11,4 мА
Задача №5
Условие
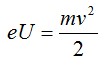
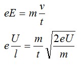
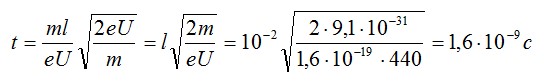
Расстояние между катодом и анодом вакуумного диода равно 1 см. Сколько времени движется электрон от катода к аноду при анодном напряжении 440 В? Движение считать равноускоренным.
Решение
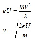
Начальную скорость электрона будем считать равной нулю. По закону сохранения энергии:

Отсюда выразим скорость:

По 2 закону Ньютона, со стороны электрического поля на электрон действует сила, которая сообщает ему посоянное ускорение:

Выразим время и вычислим:

Ответ: 1,6 нс.
Вопросы на тему «Электрический ток в полупроводниках»
Вопрос 1. Что такое полупроводник?
Ответ.
Полупроводники – вещества, которые по удельной проводимости занимают промежуточное положение между проводниками и диэлектриками.
В таблице Менделеева есть 12 химических элементов, относящихся к проводникам: кремний, германий, селен, теллур и др. Самый распространенный полупроводник на Земле – кремний.
Свойства полупроводников находят широкое применение в электронике.
Вопрос 2. В чем отличие полупроводников от металлов?
Ответ.
- Качественное отличие полупроводников от металлов проявляется прежде всего в зависимости удельного сопротивления от температуры. С понижением температуры сопротивление металлов уменьшается (сверхпроводимость). У полупроводников же с понижением температуры сопротивление возрастает, и вблизи абсолютного нуля они практически становятся диэлектриками.
- Сопротивление полупроводников значительно уменьшается при их освещении.
- Небольшое количество примесей оказывает сильное влияние на сопротивление полупроводников.
Вопрос 3. Какой тип проводимости свойственен для полупроводников?
Ответ. Носителями зарядов в проводнике являются электроны и дырки. Электронно-дырочный механизм обуславливает собственную электрическую проводимость полупроводников. Помимо этого, существует примесная проводимость полупроводников. Она, в свою очередь, бывает донорной и акцепторной.
Вопрос 4. Что такое транзистор?
Ответ. Транзистор – полупроводниковый прибор, который служит для усиления мощности. В основе работы транзистора лежит электронно-дырочный переход.
Вопрос 5. Что такое электронно-дырочный переход?
Ответ. Электронно-дырочный переход, или p-n переход – это граница между двумя областями проводника с разными типами проводимости.
Нужна помощь в решении задач и других заданий? Обращайтесь в профессиональный сервис для учащихся в любое время суток.