Сегодняшняя статья посвящена решению задач по теме «Электрический ток в металлах».
Подписывайтесь на наш канал в телеграме. Там вы найдете не только полезные материалы для учебы, но и актуальные новости, лайфхаки, а еще приятные скидки.
Электрический ток в металлах: задачи с решением
Решая задачи по физике, держите под рукой формулы.
Задача №1. Электрический ток в металлах
Условие
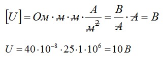
Плотность тока в никелированном проводнике длинной 25 м равна 1 МА/м2. Какова разность потенциалов на концах проводника?
Решение
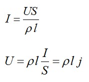
Сила тока в проводнике определяется законом Ома:

Здесь U – напряжение на концах проводника; R – сопротивление проводника.
Сопротивление проводника равно:

Здесь «р» – удельное сопротивление материала проводника; l – длина проводника; S – площадь поперечного сечения проводника.
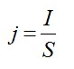
Плотность тока:

Подставим значения для плотности тока и сопротивления в выражение для закона Ома, решим уравнения и получим выражение для напряжения:

Выполним проверку размерности и вычислим ответ:

Ответ: 10 В.
Задача №2. Электрический ток в металлах, дрейфовая скорость
Условие
Выведите формулу для скорости движения носителей заряда в проводнике с площадью поперечного сечения S, силой тока I, и концентрацией носителей заряда n.
Решение
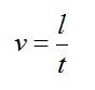
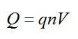
Представим проводник в виде цилиндра длиной l и площадью S. Пусть за время t носители заряда (в случае с металлическим проводником – электроны проводимости) проходят в проводнике некоторый путь l. Cкорость будем вычислять как отношение пути ко времени.

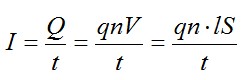
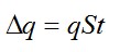
Общий заряд, прошедший через объем проводника за время t, можно найти, используя значение концентрации электронов проводимости:

Cила тока в проводнике равняется отношению общего заряда, прошедшего через объем проводника, ко времени. Запишем для силы тока:

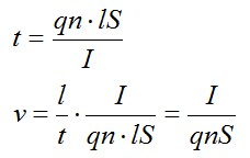
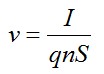
Отсюда выразим время и подставим в формулу для скорости:

Ответ: см. фомулу выше.
Задача №3. Электрический ток в металлах, скорость движения электронов
Условие
Какова средняя скорость направленного движения электронов (дрейфовая скорость) в металлическом проводнике с сечением 0,5 см2, если в проводнике существует ток силой 12 А, а в каждом кубическом сантиметре проводника имеется 5 • 10^21 электронов проводимости.
Решение
Воспользуемся формулой для скорости движения электронов из предыдущей задачи:

Остается подставить значения, и вычислить скорость движения электронов:

Ответ: 0,0003 м/с.
Не забывайте при вычислениях переводить все размерности величин в систему СИ.
Задача №4. Электрический ток в средах, электролиз
Условие
Проводящая сфера радиусом R = 5 см помещена в электролитическую ванну, наполненную раствором медного купороса. Отложение меди длится t — 30 мин, а электрический заряд, поступающий на каждый квадратный сантиметр поверхности сферы за секунду, равен 0,01 Кл. Насколько увеличится масса сферы вследствие отложений меди?
Решение
Формула для площади поверхности сферы:

За 30 минут ионы меди перенесут заряд, равный:

Молярная маса меди равна М, валентность меди – n. Значения можно взять в таблице Менделеева. Масса выделившейся меди равна:

Ответ: 2 грамма.
Задача №5. Электрический ток в металлах, взаимодействие токов
Условие
По двум бесконечно параллельным металлическим проводам длиной l=3 м каждый текут одинаковые токи силой I=500A. Расстояние между проводами d=10 см. Определить силу взаимодействия проводов.
Решение
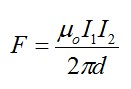
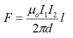
Сила взаимодействия двух прямолинейных бесконечно длинных параллельных токов на единицу их длины:

Тогда на провод длиной будет действовать сила:

Подставляем числа:

Ответ: 1,5 Н.
Вопросы на тему «Электрический ток в металлах»
Вопрос 1. Что такое электрический ток?
Ответ.
Электрическим током называют любое упорядоченное движение заряженных частиц.
Через различные вещества электрический ток проходит по-разному. Одним из условий возникновения электрического тока является наличие свободных зарядов, способных двигаться под действием электрического поля.
Вопрос 2. Каковы проводящие особенности металлов?
Ответ. Металлы – вещества, относящиеся к группе проводников.
- В твёрдом состоянии металлы имеют кристаллическую структуру: расположение атомов в пространстве характеризуется периодической повторяемостью и образует геометрически правильный рисунок, называемый кристаллической решёткой;
- Атомы металлов имеют небольшое число валентных электронов, расположенных на внешней электронной оболочке. Эти валентные электроны слабо связаны с ядром, и атом легко может их потерять. Когда атомы металла занимают места в кристаллической решётке, валентные электроны покидают свои оболочки — они становятся свободными.
Экспериментально доказано, что носителями тока в металлах являются электроны. Проводимость металлических проводников называется электронной проводимостью.
Вопрос 3. Почему в проводниках (металлах) возникает ток?
Ответ. Электрический ток в металлах возникает под действием внешнего электрического поля. На электроны проводимости, находящиеся в этом поле, действует электрическая сила, сообщающая им ускорение, направленное в сторону, противоположную вектору напряженности поля. В итоге электроны приобретают некоторую добавочную скорость. Эту скорость электронов еще называют дрейфовой.
Вопрос 4. Почему проводники нагреваются, когда по ним протекает ток?
Ответ. При столкновении с ионами кристаллической решетки, электроны проводимости передают последним часть кинетической энергии. Это приводит к увеличению энергии движения ионов кристаллической решетки, а, следовательно, и к нагреванию проводника.
Вопрос 5. С какой скоростью распространяется ток в металлах?
Ответ. Следует помнить, что скорость распространения тока и скорость движения свободных электронов в металле – не одно и то же. Скорость распространения тока равна скорости распространения электрического поля в пространстве (скорости света), а дрейфовая скорость составляет лишь несколько долей миллиметра в секунду.
Нужна помощь в решении задач или выполнении других заданий? Обращайтесь в профессиональный сервис для учащихся в любое время.