По традиции напоминаем: чтобы ежедневно получать полезную рассылку, подписывайтесь на наш телеграм-канал.
Равномерное движение
В общем случае:
Равномерное движение – механическое движение, при котором тело за любые равные промежутки времени проходит одно и то же расстояние. При равномерном движении величина скорости точки остаётся неизменной.
Виды равномерного движения:
- прямолинейное;
- криволинейное;
Примеры равномерного движения: автобус движется по прямой дороге с постоянной скоростью 60 километров в час, маховик двигателя вращается с постоянной скоростью вокруг своей оси.
Прямолинейное равномерное движение
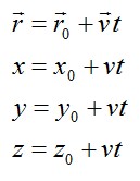
Из названия понятно, что это движение по прямой линии с постоянной скоростью (v=const). Какие формулы пригодятся при решении задач на равномерное прямолинейное движение? Путь совпадает с перемещением:

Закон движения:

Равномерное криволинейное движение
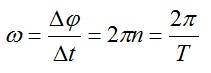
Самый простой пример такого движения – это движение по окружности. При равномерном движении по окружности радиус-вектор точки будет за равные промежутки времени поворачиваться на один и тот же угол. Угловая скорость (скорость изменения угла в радианах в секунду) остается постоянной.

Здесь n и Т – соответственно, частота и период вращения.
Линейная скорость направлена по касательной к окружности и постоянна по модулю:

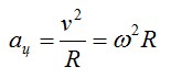
Равномерное движение по окружности – это движение с постоянным центростремительным (или, как еще говорят, нормальным) ускорением, которое направлено к центру окружности. Его модуль:

Нужно больше информации по теме? Обратите внимание на справочный материал и нашу универсальную подборку физических формул, которая пригодится при решении задач по любой теме.
Задачи на равномерное движение
Кстати! Для всех наших читателей действует скидка 10% на любой вид работы.
Задача 1
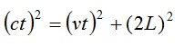
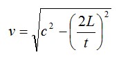
Автомобиль, движущийся параллельно длинной стене, издает короткий звуковой сигнал. Через время t водитель услышал отраженный от стены сигнал. Определить скорость автомобиля, если он едет на расстоянии L от стены, а скорость звука равна c.
Решение
Это задача на расчет скорости равномерного движения тела.

За время t звук преодолел расстояние от автомобиля до стены и обратно равное 2L, после отражения от стены звук также преодолел путь s1=ct, а автомобиль проехал расстояние s2=vt. Как видно из рисунка:

Отсюда:

Если вы новичок в решении задач, почитайте нашу универсальную памятку с полезными советами.
Задача 2
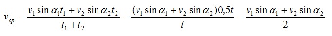
Первую половину времени тело движется со скоростью 60 м/с под углом 30° к заданному направлению, а вторую - под углом 120° к тому же направлению со скоростью 80 м/с. Найти среднюю скорость перемещения.
Решение
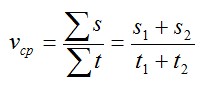
По определению, средняя скорость v при равномерном прямолинейном движении равна отношению всего пройденного пути ко всему затраченному времени.

Проанализируем условие задачи. Перемещения за первую и вторую половину времени соответственно равны:

Подставим выражения для перемещений в формулу средней скорости:

Подставив числа, получим:

Ответ: 50 м/с.
Задача 3
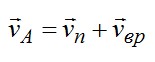
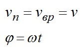
Точка А находится на ободе колеса радиусом 69 см, которое катится без скольжения по горизонтальной поверхности со скоростью 5 м/с. Найти полный путь, проходимый точкой А между двумя последовательными моментами ее касания поверхности.
Решение

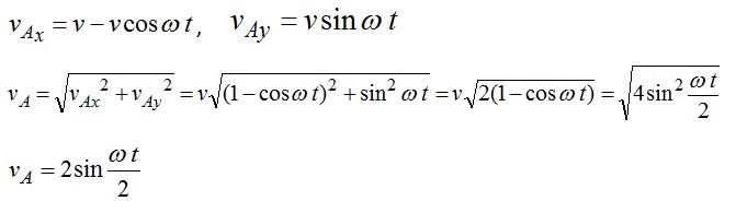
Скорость точки А складывается из скорости поступательного движения колеса и скорости вращательного движения вокруг центра колеса:

В проекциях на оси координат:

Колесо катится без проскальзывания, поэтому:

Здесь омега – угловая скорость вращения колеса.

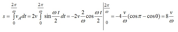
Полный путь, пройденный точкой А между двумя касаниями:

Линейная и угловая скорость точки связаны соотношением:

Ответ: 5,52 м.
Нужна помощь в решении заданий? Обращайтесь в профессиональный студенческий сервис.