Мы уже решали задачи на первый закон термодинамики. Как известно, где первый – там и второй. В сегодняшней статье занимаемся физикой и разбираем примеры задач на второе начало термодинамики.
Хотите ежедневно получать интересную и полезную для студентов рассылку? Присоединяйтесь к нам в телеграме.
Второй закон термодинамики: задачи с решениями
Задача на второй закон термодинамики №1
Условие
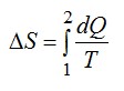
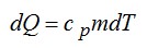
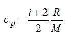
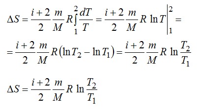
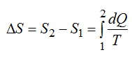
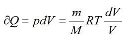
Определить изменение энтропии 14 г азота при изобарном нагревании eгo oт 27°C дo 127°C.
Решение
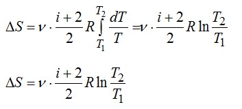
Изменение энтропии вычисляем по формуле:

Для элементарного количества теплоты в изобарном процессе можно записать:

Удельная теплоемкость при постоянном давлении:

Для двухатомного газа число степеней свободы молекулы i=5 (три поступательных и две вращательных).
С учетом сказанного, формулу для энтропии можно переписать так:

Выполним проверку размерности и подставим значения, не забывая переводить Цельсии в Кельвины:

Ответ: 4,18 кДж/К.
Задача на второй закон термодинамики №2
Условие
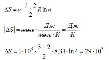
1 кмоль гелия, изобарически расширяясь, увеличил объем в 4 раза. Найти изменение энтропии при этом расширении.
Решение
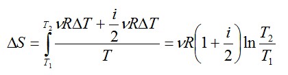
Изменение энтропии:

При постоянном давлении (в изобарном процессе) элементарное количество теплоты, полученное газом при температуре Т и молярная теплоемкость, запишутся так:

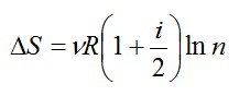
где ν - число молей газа, i – число степеней свободы молекулы газа (для молекулы инертного газе Не i=3). С учетом этого можно записать выражение для изменения энтропии:

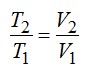
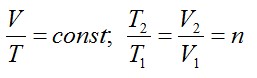
При изобарном процессе справедлив закон Гей-Люссака:

По условию задачи:

Решая уравнения, получаем ответ:

Ответ: 29 Дж/К.
Задача на второй закон термодинамики №3
Условие
С идеальным газом определенного числа молей последовательно провели два процесса, указанных на рисунке. Какое приращение энтропии в результате получили? Считать, что число степеней свободы молекулы газа равно i.

Решение
Процесс 1-2 является адиабатным. Энтропия в адиабатном процессе не изменяется, следовательно, изменение энтропии происходит только в процессе 2-3, который является изобарным. Запишем в соответствии со вторым началом термодинамики:

Теперь запишем первое начало термодинамики для изобарного процесса:

Давление в процессе остается постоянным, поэтому:

Подставим это выражение в выражение для энтропии, и с учетом первого начала, запишем:

Для изобарного процесса выполняется закон Гей-Люссака:

С учетом этого, запишем окончательное решение:

Ответ: см. выше.
Задача на второй закон термодинамики №4
Условие
Найдите изменение энтропии двухатомного азота массой 0,560 кг при изотермическом расширении. Известно, что объем увеличился в 5 раз.
Решение
Запишем первое начало термодинамики для изотермического процесса:

Изменение энтропии вычислим следующим образом:

Ответ: 268 Дж/К.
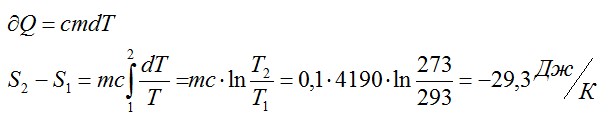
Задача на второй закон термодинамики №5
Условие
Как изменилась энтропия воды массой 0,1 кг при ее охлаждении с Т1=293 К до Т2=273 К?
Решение
Изменение энтропии находим в соответствии со вторым началом термодинамики:

Считая, что изменение происходит при постоянном объеме, для элементарного этапа можно записать:

Ответ: -29,3 Дж/ К.
Вопросы на 2 закон термодинамики
Вопрос 1. Сформулируйте второй закон (второе начало) термодинамики.
Ответ. Второй закон термодинамики устанавливает:
В изолированных системах самопроизвольно могут протекать только такие процессы, при которых энтропия системы возрастает, и процесс может идти самопроизвольно до такого состояния, при котором энтропия обладает максимальным для данных условий значением.
Второе начало термодинамики имеет несколько формулировок, первая из которых принадлежит Сади Карно. Вот пример второго закона термодинамики в его формулировке: теплота не может самоприозвольно переходить от холодного (менее нагретого) тела к горячему (более нагретому).
Хотите больше объяснений и примеров второго закона термодинамики? Читайте нашу отдельную статью на эту тему.
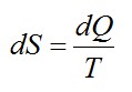
Вопрос 2. Что такое энтропия?
Ответ. Энтропия – физическая величина, одна из функций состояния термодинамической системы. Приращение энтропии вычисляется по формуле:

Энтропия показывает направление процессов и является мерой неупорядоченности в системе. Например, сахар в стакане лежит в виде кусочка, а потом его размешивают по всему стакану. В первом случае энтропия мала, а во втором – велика.
Вопрос 3. Что такое вечный двигатель второго рода?
Ответ. Вечный двигатель второго рода, или перпетум мобиле второго рода – это такая тепловая машина, которая превращает всю теплоту, полученную от нагревателя, в работу. По сути, это тепловая машина, которая работает без холодильника, а коэффициент ее полезного действия равен единице.
Эмпирически установлено, что создание такой машины невозможно.
Вопрос 4. Сформулируйте постулат второго начала термодинамики.
Ответ. Это постулат, вытекающий из невозможности построения вечного двигателя второго рода:
Невозможен круговой процесс, единственным результатом которого было бы произведение работы за счет охлаждения теплового резервуара.
Данная формулировка принадлежит Томсону.
Вопрос 5. Что такое тепловая смерть Вселенной?
Ответ. Это гипотеза, предложенная Клаузиусом в 1865 году. Главная ее идея состоит в том, что энтропия Вселенной, согласно 2 началу термодинамики, постоянно растет. Это значит, что со временем все макроскопические процессы прекратятся, и Вселенная придет в состояние термодинамического равновесия с температурой абсолютного нуля. Данная гипотеза считается ошибочной, так как Больцман объяснил, что Вселенную нельзя рассматривать как замкнутую систему.
Нужна помощь в решении задач на 2 закон термодинамики и написании студенческих работ? Обращайтесь в проверенный студенческий сервис с любыми заданиями в любое время.