
Мы часто слышим «Произошло короткое замыкание», «В цепи коротнуло». Сразу понятно, что случилось что-то незапланированное и нехорошее. Но почему замыкание именно короткое, а не длинное? Покончим с неопределенностью и разберемся, что именно происходит при коротком замыкании в электрической цепи.
Что такое короткое замыкание (КЗ)
Электрический скат плавает в океане и не устраивает КЗ, вполне обходясь без знания закона Ома. Нам же для понимания природы и причин короткого замыкания этот закон просто необходим. Так что, если вы еще не успели, читаем про закон Ома, силу тока, напряжение, сопротивление и прочие прекрасные физические понятия.
Теперь, когда вы все это знаете, можно привести определение короткого замыкания из физики и электротехники:
Короткое замыкание – это соединение двух точек электрической цепи с различными потенциалами, не предусмотренное нормальным режимом работы цепи и приводящее к критичному росту силы тока в месте соединения.
КЗ приводит к образованию разрушительных токов, превышающих допустимые величины, выходу приборов из строя и повреждениям проводки. Почему это происходит? Детально разберем, что творится в цепи при коротком замыкании.
Возьмем самую простую цепь. В ней есть источник тока, сопротивление и провода. Причем, сопротивлением проводов можно пренебречь. Такой схемы вполне достаточно для понимания сути КЗ.

В замкнутой цепи действует закон Ома: сила тока прямо пропорциональна напряжению и обратно пропорциональна сопротивлению. Иначе говоря, чем меньше сопротивление, тем больше сила тока.

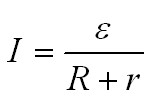
Точнее, для нашей цепи закон Ома запишется в следующем виде:

Здесь r – внутреннее сопротивление источника тока, а греческая буква эпсилон обозначает ЭДС источника.
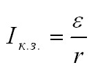
Что понимают под силой тока короткого замыкания? Если сопротивления R в нашей цепи не будет, или оно будет очень маленьким, то сила тока увеличится, и в цепи потечет ток короткого замыкания:

Кстати! Для наших читателей сейчас действует скидка 10% на любой вид работы
Виды коротких замыканий и их причины
В быту короткие замыкания бывают:
- однофазные – когда фазный провод замыкается на ноль. Такие КЗ случаются чаще всего;
- двухфазные – когда одна фаза замыкается на другую;
- трехфазные – когда замыкаются сразу три фазы. Это самый проблемный вид КЗ.
Например, утром в воскресенье ваш сосед за стенкой соединяет фазу и ноль в розетке, включив в нее перфоратор. Это значит, что цепь замыкается, и ток идет через нагрузку, то есть через включенный в розетку прибор.
Если же сосед соединит провода фазы и нуля в розетке без подключения нагрузки, то в цепи возникнет КЗ, но вы сможете поспать подольше.
Тем, кто не знает, для лучшего понимания полезно будет почитать, что такое фаза и ноль в электричестве.
Короткое замыкание называют коротким, так как ток при таком замыкании цепи как бы идет по короткому пути, минуя нагрузку. Контролируемое или длинное замыкание – это обычное, привычное всем включение приборов в розетку.
Защита от короткого замыкания
Сначала о том, какие последствия может вызвать КЗ:
- Поражение человека электрическим током и выделяющимся теплом.
- Пожар.
- Выход из строя приборов.
- Отключение электричества и отсутствие интернета дома. Как следствие - вынужденная необходимость читать книги и ужинать при свечах.

Как видите, короткое замыкание – враг и вредитель, с которым нужно бороться. Какие есть способы защиты от короткого замыкания?
Почти все они основаны на том, чтобы быстро разомкнуть цепь при обнаружении КЗ. Это можно сделать с помощью разных аппаратов защиты от короткого замыкания.
Почти во всех современных электроприборах есть плавкие предохранители. Большой ток просто расплавляет предохранитель, и цепь разрывается.
В квартирах используются автоматы защиты от короткого замыкания. Это автоматические выключатели, рассчитанные на определенный рабочий ток. При повышении силы тока автомат срабатывает, разрывая цепь.
Для защиты промышленных электродвигателей от коротких замыканий используются специальные реле.

Теперь вы можете легко дать определение короткому замыканию, заодно знаете про закон Ома, а также фазу и ноль в электричестве. Желаем всем не устраивать коротких замыканий! А если у вас в голове «замкнуло» и совершенно нет сил на какую-то работу, наш студенческий сервис всегда поможет с ней справиться.
А напоследок видео о том, как НЕ НУЖНО обращаться с электрическим током.