О законах Ньютона говорят уже несколько веков. Мы не будем повторяться, а лучше разберемся с задачами на все три закона. Ведь умение решать физические задачи на законы Ньютона – святая обязанность всех студентов-технарей.
Наш телеграм – это ежедневная рассылка и информация, которая будет полезна любому студенту. Присоединяйтесь!
Законы Ньютона
Если вы вдруг забыли, как звучат эти законы, то напоминаем:
- Первый закон Ньютона. Существуют такие системы отсчета, в которых свободные тела движутся равномерно и прямолинейно либо покоятся, если на тела не действуют никакие внешние силы или если действие этих сил скомпенсировано.
- Второй закон Ньютона. Ускорение тела (материальной точки) в инерциальной системе отсчета прямо пропорционально приложенной к нему силе и обратно пропорционально массе.
- Третий закон Ньютона. Два тела воздействуют друг на друга с силами, противоположными по направлению, но равными по модулю.
Чаще всего в задачах применяется второй закон Ньютона.
Прежде чем приступать, почитайте памятку по решению задач, составленную по советам профессоров вузов. И сразу в плечи – полезные формулы по физике из старых советских учебников лучше которых, как известно, ничего еще не придумали.
Вопросы на 1 закон Ньютона
Вопрос 1. Что означает выражение «действие сил скомпенсировано»?
Ответ. Это значит, что тело в инерциальной системе отсчета будет двигаться равномерно и прямолинейно или покоится, даже если на него действуют внешние силы, но при этом их векторная сумма (равнодействующая всех сил) равна нулю.
Вопрос 2. Как еще называют первый закон Ньютона?
Ответ. Еще одно название этого закона – закон инерции. Впервые он был открыт Галилео Галилеем, однако Ньютон немного позже дал более точное определение.
Вопрос 3. Что такое инерция?
Ответ. Инерция – это свойство тел сохранять состояние покоя или движения до тех пор, пока какая-либо внешняя сила не изменит этого состояния.
Вопрос 4. Рыба неподвижно стоит в толще воды. Какие силы в данном случае являются скомпенсированными?
Ответ. На рыбу действует сила тяжести, которая взаимно компенсируется выталкивающей силой Архимеда.
Задача №1. Нахождение равнодействующей силы
Условие
На тело действуют три силы, равные по модулю. Величина каждой – 200 Н. Угол между первой и второй силами равен 60 градусов, как и угол между второй и третьей силами. Найти равнодействующую этих сил. Скомпенсировано ли действие сил?
Решение
Будем использовать теорему косинусов. Вычислим модуль суммы первой пары сил:

Угол между этим результирующим вектором и вектором третьей силы составляет 90 градусов (так как результирующая первых двух сил направлена по биссектрисе угла). Для нахождения равнодействующей можно воспользоваться теоремой Пифагора:

Ответ: 400 Н. Действие сил не скомпенсировано, иначе их равнодействующая была бы равна нулю.
Кстати! Для наших читателей действует скидка 10% на любой вид работы.
Задачи и вопросы на 2 закон Ньютона
Вопрос 1. Как можно сформулировать второй закон Ньютона, используя понятие «количества движения»?
Ответ. В инерциальных системах отсчёта производная импульса материальной точки по времени равна действующей на неё силе.
Действительно, импульс (или количество движения) равен произведению массы и скорости. Взяв производную по времени от скорости, мы получим ускорение и придем к классической формулировке второго закона Ньютона: F=ma.
Вопрос 2. Как определяется равнодействующая сила?
Ответ: Равнодействующая сила определяется по правилу сложения векторов. При решении задач бывает удобно рассматривать проекции векторов на определенную ось.
Вопрос 3. Как записать второй закон Ньютона для вращательного движения?
Ответ. Для вращательного движения аналог второго закона Ньютона запишется в виде:

Здесь M – момент силы, J – момент инерции вращающегося тела, эпсилон – угловое ускорение.
Вопрос 4. Что такое сила?
Ответ. Сила – векторная физическая величина, мера взаимодействия тел. Измеряется в Ньютонах. Один Ньютон – такая сила, которая придает телу массой 1 килограмм ускорение равное 1 метр на секунду в квадрате.
Задача №2. Нахождение массы по второму закону Ньютона
Условие
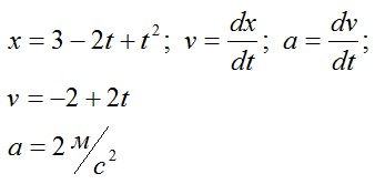
Под действием постоянной силы, равной 10 Н, тело движется прямолинейно. Зависимость координаты тела от времени описывается уравнением х = 3 - 2t + t^2. Какова масса тела?
Решение
Задача сводится к тому, чтобы из закона движения вычислить ускорение, а потом с помощью второго закона Ньютона найти массу.

Записываем второй закон Ньютона и подставляем значения:

Ответ: 5 кг.
Задача №3. Нахождение силы по второму закону Ньютона
Условие
Локомотив имеет массу 500 тонн. Через 25 с после того, как он тронулся с места, скорость локомотива стала равна 18 км/ч. Какова сила тяги локомотива?
Решение
Так как начальная скорость равна нулю, ускорение поезда можно найти по формуле:

Записываем второй закон Ньютона и составляем пропорцию, при вычислениях не забывая переводить все данные из условия в систему СИ:

Ответ: 100 кН.
Задача №4. Нахождение ускорения по второму закону Ньютона
Условие
Масса тела равна 500 г. Какое ускорение приобретет тело под действием силы 0,2 Н?
Решение
Для нахождения ускорения достаточно записать второй закон Ньютона, выразить из него ускорение, подставить значения и вычислить:

Ответ: 0,4 метра на секунду в квадрате.
Задачи и вопросы на 3 закон Ньютона
Вопрос 1. В какой формулировке третий закон был сформулирован самим Ньютоном?
Ответ. Первоначальная формулировка третьего закона Ньютона звучит так: «всякому действию есть равное ему и противоположное по направлению противодействие».
Вопрос 2. Могут ли силы, возникающие при взаимодействии двух тел, компенсировать друг друга?
Ответ. Нет, эти силы имеют одинаковую природу, но приложены к разным телам.
Вопрос 3. Камень брошен вертикально вверх. Со стороны Земли на камень действует сила тяжести. С какой силой камень действует на Землю?
Ответ. Камень действует на землю с такой же силой, но направленной противоположно. Из-за разницы масс камень приобретает большее ускорение и падает на землю (а не наоборот).
Задача №5 на применение второго и третьего законов Ньютона. Нахождение силы
Условие
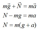
Лифт движется вверх с ускорением 2 метра на секунду в квадрате, а на полу лифта лежит груз массой 20 кг. С какой силой груз действует на пол лифта?
Решение

На груз действуют силы тяжести и нормальной реакции опоры. По второму закону Ньютона можно записать (сначала в векторном виде, а потом в проекции на вертикальную ось):

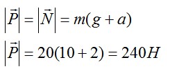
Вес Р – это сила, с которой груз действует на пол лифта. По третьему закону Ньютона она равна силе нормальной реакции опоры, с которой пол лифта действует на груз.

Ответ: 240 Н.
Нужна помощь в решении сложных задач на законы Ньютона? Профессиональный студенческий сервис готов ее оказать!