При решении задач на равноускоренное движение не обойтись без формул кинематики и второго закона Ньютона. Рекомендуем сначала изучить теорию по этим разделам, а уже потом приступать к практике.
Больше полезных сведений и ежедневная интересная рассылка – на нашем телеграм-канале, присоединяйтесь!
Равноускоренное движение: определение и примеры
Равноускоренное движение – это движение с меняющейся скоростью, но постоянным ускорением (a=const).
Самый простой случай такого движения – равноускоренное прямолинейное движение.
Вот типичные примеры равноускоренного движения:
- рояль падает с 12-го этажа с ускоренинием свободного падения g;
- автомобиль разгоняется со светофора от 0 до 60 км/ч с ускорением равным 1 метр на секунду в квадрате;
- автобус плавно тормозит перед светофором. Это также равноускоренное движение, только векторы скорости и ускорения направлены в разные стороны.
Вопросы с ответами на равноускоренное движение
Вопрос 1. График движения представляет собой прямую линию. Является ли движение тела равноускоренным?
Ответ: да. Если график представляет собой кривую, то ускорение тела меняется со временем. Равномерное движение, которое также описывается прямой – частный случай равноускоренного движения с нулевым ускорением. Перемещение при равноускоренном движении численно равно площади трапеции, ограниченной осями координат и графиком.
Вопрос 2. Тело равномерно движется по окружности. Как направлено ускорение?
Ответ: перпендикулярно телу. В общем случае при криволинейном движении ускорение имеет две составляющие: нормальную (центростремительное ускорение) и тангенциальную, направленную по касательной к скорости. Тангенциальное ускорение при равномерном движении по окружности равно нулю.
Вопрос 3. Является ли ускорение свободного падения постоянным ускорением?
Ответ: да, является.
Вопрос 4. Может ли тело иметь нулевую скорость и ненулевое ускорение?
Ответ: да, может. После того, как скорость станет равна нулю, тело начнет двигаться в другом направлении.
Вопрос 5. Что такое ускорение?
Ответ: Векторная физическая величина, характеризующая изменение скорости за единицу времени. При равноускоренном движении скорость меняется одинаково за равные промежутки времени.
Задачи на равноускоренное движение
Сначала обратимся к уже приведенным примерам.
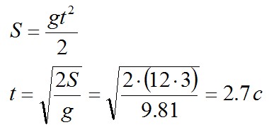
Задача №1. Равноускоренное движение
Условие
Рояль роняют с 12 этажа с нулевой начальной скоростью. За какое время он долетит до земли? Один этаж имеет высоту 3 метра, сопротивлением воздуха принебречь.
Решение
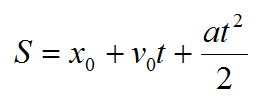
Известно, что рояль движется с ускорением свободного падения g. Применим формулу для пути из кинематики:

Начальная скорость равна нулю, а за точку отсчета примем то место, откуда рояль начал движение вниз.

Ответ: 2.7 секунды.
Скорость свободно падающих тел не зависит от их массы. Любое тело в поле силы тяжести Земли будет падать с одинаковым ускорением. Этот факт был экспериментально установлен Галилео Галилеем в его знаменитых экспериментах со сбрасыванием предметов с Пизанской башни.
Задача №2. Равноускоренное движение
Условие
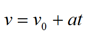
Автобус ехал со скоростью 60 км/ч и начал тормозить на светофоре с ускорением 0,5 метра на секунду в квадрате. Через сколько секунд его скорость станет равной 40 км/ч?
Решение
Вспоминаем формулу для скорости:

Начальная скорость дана в условии, но автобус тормозит, а значит, векторы скорости и ускорения направлены в противоположные стороны. В проекции на горизонтальную ось ускорение будем записывать со знаком минус:

Ответ: 11 секунд.
Обязательно переводите величины в систему СИ.Чтобы перевести километры в час в метры в секунду нужно значение скорости в километрах в час сначала умножить на 1000, а потом разделить на 3600.
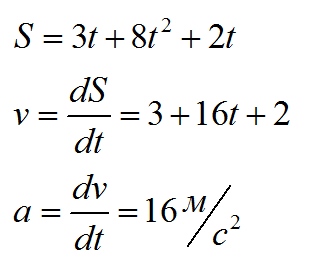
Задача №3. Нахождение ускорения
Условие
Тело движется по закону S(t)=3t+8t^2+2t. Каково ускорение тела?
Решение
Вспоминаем, что скорость – это производная пути по времени, а ускорение – производная скорости:

Ответ: 16 метров на секунду в квадрате.
При решении физических задач не обойтись без знания производной.
Кстати! Для всех наших читателей действует скидка 10% на любой вид работы.
Задача №4. Нахождение ускорения при равноускоренном движении
Условие
Грузовик разгоняется на дороге, а в кузове лежит незакрепленный груз. С каким максимальным ускорением должен разгоняться грузовик, чтобы груз не начал смещаться к заднему борту? Коэффициент трения груза о дно кузова k=0.2, g=10 м/c2
Решение
Для решения этой задачи нужно использовать второй закон Ньютона. Сила трения в данном случае равна F=kmg.

Ответ: 2 метра на секунду в квадрате.
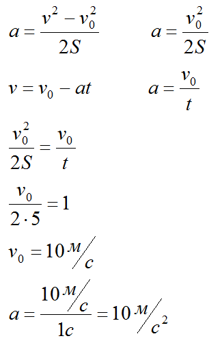
Задача №5. Нахождение ускорения и скорости при равноускоренном движении
Условие
За пятую секунду прямолинейного движения с постоянным ускорением тело проходит путь 5 м и останавливается. Найти ускорение тела.
Решение
Конечная скорость тела v равна 0, v нулевое – скорость в конце 4-й секунды.

Ответ: 10 метров на секунду в квадрате.
Нужна помощь в решении задач? Обращайтесь в профессиональный студенческий сервис в любое время.