В сегодняшней статье мы займемся решением задач на тему «Работа и мощность постоянного тока». Вдруг кому-нибудь пригодится.
Кстати, много полезной информации для студентов, а также приятные скидки, вы найдете на нашем телеграм-канале. Подписывайтесь!
Работа и мощность тока: задачи с решением
Перед непосредственным решением задач на работу и мощность электрического тока повторите теорию, ознакомьтесь с общей памяткой по решению задач. Также мы собрали для вас вместе более 40 формул по физике, держите их под рукой.
Задача №1. Мощность электрического тока
Условие
Сопротивление нити накала электрической лампы составляет 400 Ом, а напряжение на нити равно 100 В. Какова мощность тока в лампе?
Решение
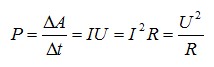
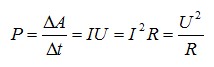
По определению, мощность тока на участке цепи равна работе, деленной на время, за которое она была совершена:

Подставим значения, и найдем мощность:

Ответ: 25 Вт.
Задача №2. Расчет мощности электрического тока
Условие
Два резистора соединены параллельно и последовательно. В каком из двух резисторов мощность тока больше (и во сколько раз) соответственно при параллельном и последовательном соединении?

Решение
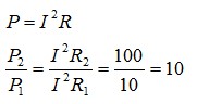
1) При последовательном соединении сила тока в каждом резисторе одинакова, а мощность тока напрямую зависит от сопротивления резисторов:

Мощность тока во втором резисторе больше в 10 раз.
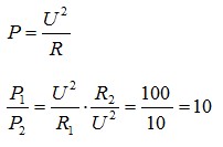
2) При параллельном соединении на резисторах будет разная сила тока, но одинаковое напряжение. Для мощности тока целесообразно использовать формулу:

Мощность тока в первом резисторе больше в 10 раз.
Ответ: В 10 раз больше во втором резисторе; в 10 раз больше в первом резисторе.
Задача №3. Работа электрического тока
Условие
Какова работа электрического тока в паяльнике, если сила тока в цепи равна 3 А, а сопротивление паяльника – 40 Ом? Время работы паяльника – 30 минут. Какое количество теплоты выделится в паяльнике за это время?
Решение
По закону Джоуля-Ленца, работа тока на наподвижном проводнике с сопротивлением R, преобразуется в тепло.

Вычислим работу:

При вычислениях не забывайте переводит все величины в систему СИ.
Работа тока равна выделившемуся количеству теплоты.
Ответ: 648 кДж.
Задача №4. Расчет работы электрического тока
Условие
Какую работу ток совершает в электродвигателе за 20 минут, если сила тока в цепи равна 0,2 А, а напряжение составляет 12 В.
Решение
Применим формулу для работы тока:

Ответ: 2880 Дж.
Напоследок мы приберегли для вас задачу посложнее.
Задача №5 на закон Джоуля-Ленца
Условие
Сила тока в проводнике сопротивлением R=20 Ом нарастает в течение времени Δt=2 с по линейному закону от I0=0 до Imax=6 А. Определить количество теплоты Q1, выделившееся в этом проводнике за первую секунду, и Q2 - за вторую, а также найти отношение этих количеств теплоты Q2/Q1.
Решение
Закон Джоуля – Ленца применим в случае постоянного тока (I =const). Если же сила тока в проводнике изменяется, то указанный закон справедлив для бесконечно малого промежутка времени и записывается в виде:

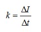
Здесь сила тока I является некоторой функцией времени. В нашем случае I=kt, где k - коэффициент пропорциональности, равный отношению приращений силы тока к интервалу времени, за который произошло это приращение:

С учетом этого, формула для количества теплоты примет вид:

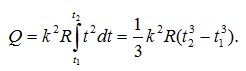
Для определения количества теплоты, выделившегося за конечный промежуток времени, выражение для бесконечно малого количества теплоты следует проинтегрировать в пределах от t1 до t2:

При определении количества теплоты, выделившегося за первую секунду, пределы интегрирования t1 =О, t2= 1 с и, следовательно, Q1=60 Дж, а за вторую секунду - пределы интегрирования t1= 1 с, t2=2 с и тогда Q2=420 Дж.
Кстати, читайте в нашем блоге о том, как считать интегралы.
За вторую секунду выделится теплоты в 7 раз больше, чем за первую секунду.
Ответ: 60 Дж; 420 Дж; в 7 раз больше.
Вопросы на работу и мощность электрического тока
Вопрос 1. Что такое работа электрического тока?
Ответ. Работа электрического тока – это физическая величина, которая показывает, какая работа была совершена электрическим полем при перемещении зарядов по проводнику. Она равна произведению силы тока на участке цепи, напряжению на концах этого участка и времени, в течение которого протекает ток по проводнику.

Единица измерения работы – 1 Джоуль.
Вопрос 2. Сформулируйте закон Джоуля-Ленца.
Ответ. Это эмпирический закон преобразования работы тока в тепло. Он был экспериментально установлен независимо друг от друга Дж. Джоулем и Э. Ленцем.
Работа электрического тока, протекающего по неподвижному проводнику с сопротивлением R, преобразуется в тепло, выделяющееся на проводнике.

При прохождении тока по проводнику положительные ионы в узлах кристаллических решеток проводника за счет энергии тока начинают сильнее колебаться, что сопровождается увеличением внутренней энергии проводника, т.е. его нагреванием.
Вопрос 3. Что такое мощность электрического тока?
Ответ. Мощность тока – физическая величина, характеризующая скорость совершения током работы. Мощность равна отношению работы к интервалу времени, за которые она была совершена:

Единицей измерения мощности является Ватт. 1 Ватт – это мощность, при которой за одну секунду совершается работа в 1 Джоуль.
Вопрос 4. Приведите пример внесистемной единицы измерения работы.
Ответ. На практике часто пользуются единицей, называемой ватт-час (втч). Так как в часе 3 600 секунд, 1 ватт-час равен 3 600 Дж.
Вопрос 5. Как измерить работу тока?
Ответ. В простейшем случае для измерения работы тока нужны амперметр, вольтметр и часы. На практике работу электрического тока измеряют с помощью счетчиков.
Нужна помощь в решении задач и выполнении других заданий? Профессиональный сервис для учащихся всегда к вашим услугам.